
(Photos) Ganduje, Patience Jonathan, Donald Duke, David Mark Listed as FCTA Revokes 1,095 Abuja Property Titles
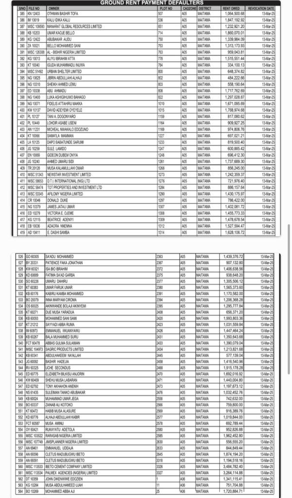
The Federal Capital Territory Administration (FCTA) has released the names of individuals and entities connected to 1,095 property titles recently revoked due to non-payment of statutory land charges.
The affected properties are located in some of Abuja’s most expensive districts, Asokoro, Maitama, Garki and Wuse.
In a public notice signed by FCTA management, the agency announced that enforcement actions will begin after the final 14-day grace period ends on November 25, 2025.
According to the notice:
- 835 properties were revoked over unpaid ground rents.
- 260 properties were revoked for failure to pay violation fees and land-use conversion charges.
Several prominent Nigerians appeared on the list, including:
- Abdullahi Ganduje, former Governor of Kano
- Donald Duke, former Governor of Cross River
- Patience Jonathan, wife of former President Goodluck Jonathan
- David Mark, former Senate President
- Iyiola Omisore, former Deputy Governor of Osun
The FCTA says full enforcement will follow once the grace period lapses.






